Mulgrew Astonished that City Wants Health Care Premiums
But he and MLC agreed to them, just as they agreed to Medicare Advantage
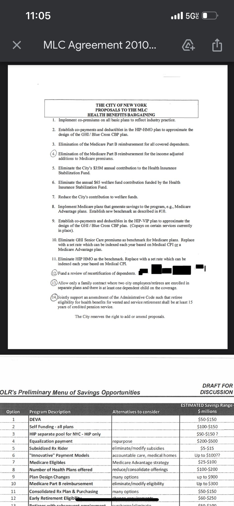
It’s mind-boggling to see UFT President Michael Mulgrew ranting about how outrageous the city’s call for premiums is. The fact is, he and his fellow geniuses on the Municipal Labor Committee specifically agreed to them. You can see that highlighted as part of the MLC agreement below.
Let’s be clear—I oppose premiums on those serving the city. I’m sure Retiree Advocate does as well. That said, I’ve long questioned how the hell Mulgrew and his MLC BFFs would keep their promise to provide something “as good or better” than Emblem/ GHI while having Eric Adams pay 10% less. It seemed implausible.
In service, I’d mostly been happy with GHI (even though it isn’t nearly as good as Medicare). Over the last few years I had it, though, a group of my doctors dropped it, and me. I saw only one doctor who did not accept it, and just paid what I had to. As for the rest, I found substitutes. One doctor, when explaining why he was dropping it, said, “They pay shit.” (And, of course, there were those 100 dollar copays for urgent care, the ones Mulgrew thought should be 400.)
I was curious why it was taking Mulgrew so long to reveal his top-secret plan. It brought to mind Nixon’s secret plan to end the Vietnam War, or the Trump health plan that would replace Obamacare and cover everyone. It’s quite clear now that Mulgrew and his Unity Patronage Pals were unable to negotiate anything “as good or better” than Emblem GHI.
Given that, Mulgrew’s decided to go on the offensive and blame the city’s intransigence. Not only that, but he’s now blaming them for the Medicare Advantage debacle. Their lawyers were incompetent. They scared the retirees.
First, I’m not sure whether their lawyers were incompetent. I can tell you, though, that the ones Mulgrew picks are not very smart. For one thing, they threatened me with civil and criminal penalties for excercising my First Amendment right to parody him. They are either unfamiliar with the First Amendment, or they think members will cower in fear at their empty threats.
I believe the latter. Michael Mulgrew adores empty threats. If you don’t take this Medicare Advantage plan, perhaps the city will put everyone into HIP. If you don’t accept this piece of crap contract that makes you wait forever for money you earned years ago, with a year and a half of zero, you have no “God-given right” to retro pay.
Now Mulgrew is saying the MA plan caused a lot of fear in retirees, so he’s backing off. He cares about us, you see. But he’s spent years lying to us about this plan. He and his salaried sycophants continued lying about it right up to the point when we tossed his caucus out of power.
We are not afraid of you, Mr. Mulgrew. We stood up to you again and again. We aligned with NYC Retirees, and we contributed to the lawsuits that repeatedly humiliated you and the lawyers you now scapegoat. Furthermore, we know that you agreed to place us into an Advantage plan, and just in case you forgot, it’s documented below.
I don’t love the NY Post Editorial Board. They pretty much hate us and everything we stand for. But their first two paragraphs here are accurate.
Teachers-union boss Michael Mulgrew’s decision to renege on his deal for retiree health-care benefits is more proof he can’t be trusted.
More important: He agreed to shifting retirees to Medicare Advantage to generate savings that paid for teacher raises and spared United Federation of Teachers retirees from paying health-care premiums, so if that’s off the table, Mulgrew needs to find savings elsewhere.
He did agree to all this. In fact, he initiated all this. Mulgrew made the outlandishly stupid move of agreeing to a 600 million annual health savings for NYC, forever, in exchange for a three year contract that hovered around cost of living.
Daniel Alicea suggests Mulgrew’s moves now may be limited. He could drop UFT out of MLC. Of course, given that he initiated this mess, that would be hugely unethical and irresponsible.
He could try to negotiate a special deal for UFT with the city. Of course, that would establish he was lying to us when he suggested that only MLC could negotiate health care. And why on earth would the Adams association be more inclined to negotiate with him now that he’s reneged on what he previously committed to? I’ll quote Daniel here:
Either way, Mulgrew is still in a box that he created. He wants to “go to war” over premiums HE AGREED to.
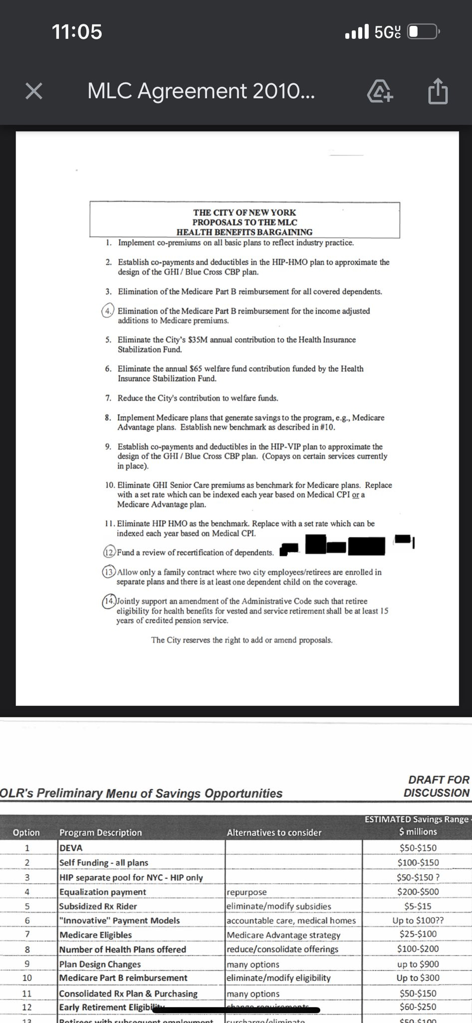
Mulgrew’s negotiating positions are not great here. Of course, that’s not important. What’s important is that he, Michael Mulgrew, placed us in this untenable situation. You can look through the attachments below to see all the options he checked off on.
You will also note that, in case of a dispute, it will be sent to arbitrator Martin F. Scheinman. I don’t know about you, but I’m not feeling particularly sanguine about his potential determinations. Scheinman tried to push through the Aetna deal, and seemed to pretend he was ruling on it. Mulgrew seemed to agree and support that.
Here’s the bottom line—I don’t trust Michael Mulgrew as far as I can throw him.
And neither should you.






Now Mulgrew is lost in all his lies. He cannot even keep track of all his fibs. However, I remember them all and will repeat them over and over again until the UFT has new leadership and becomes a truly democratic union.
The Medicare Advantage savings were going to the Health Insurance Stabilization Fund which subsidized GHI. (See the October 28, 2021 filing with the City Council by the Independent Budget Office.) Without Medicare Advantage that will not happen. The MLC agreed to "save" the City $600 million dollars annually starting in 2022. How will the MLC meet that obligation?
I think that Mr. Mulgrew should address these issues to his members.